jc聚彩

Hengstler(亨士乐)编码器 - 西安德伍拓自动化传动系统有限公司
首页 技术知识

角度编码器:如何使用编码器测量角度

编辑:Hengstler(亨士乐)编码器    发布时间:2022/6/9 8:59:49

摘要:为了直接测量负载的角位移,Dynapar编码器应安装在负载的中心枢轴点上。随着负载转动,编码器将信号中继到接收设备。该数据仅包含位移脉冲(增量编码器)或初始和最终绝对位置(绝对编码器)。
角度编码器:如何使用编码器测量角度

角度编码器测量负载相对于轴或点的旋转位置。角度编码器提供与位移相对应的输出,读取设备(PLC、计数器等)将该数据处理为角度读数。使用Dynapar编码器测量角度的三种方法:

1、使用安装在负载枢轴点上的编码器进行直接角度测量
2、使用安装在电机驱动旋转上的编码器进行间接角度测量
3、使用沿负载圆周安装的多圈编码器进行间接角度测量

通过跟踪负载直接测量角度

为了直接测量负载的角位移,Dynapar编码器应安装在负载的中心枢轴点上。随着负载转动,编码器将信号中继到接收设备。该数据仅包含位移脉冲(增量编码器)或初始和最终绝对位置(绝对编码器)。读取设备,无论是驱动器、控制器还是某种类型的计数器/显示设备,都需要将原始数据处理成有用的信息。

角度编码器:如何使用编码器测量角度

在增量编码器的情况下,角度α可以表示为

角度编码器:如何使用编码器测量角度

其中 P 等于脉冲数,PPR 等于每转脉冲数

在绝对编码器的情况下,角度α可以表示为

角度编码器:如何使用编码器测量角度

其中 C 等于计数,CPR 等于每转计数。

通过跟踪电机轴进行间接角度测量

也可以通过监控电机轴或惰轮来测量负载的角位移。在这种情况下,我们通过将电机轴转动一定次数并将其与负载的位移相关联以得出转换系数来获得最佳结果。

角度编码器:如何使用编码器测量角度

这是旋转编码器的传统用例。它具有通过直接反馈提高电机性能的好处。缺点是它可能无法准确跟踪负载的移动。由联轴器、齿轮箱等引入的机械顺应性可能会引入间隙和滞后等误差。理论上,转换因子考虑了这一点,但机械效应会随着时间而漂移。

通过跟踪负载边缘进行间接测量

某些负载与中心枢轴编码器安装不兼容。例如,卫星天线需要旋转以指向感兴趣的信号方向,以进行高度控制。机械设计和通过中心轴的电气电缆的存在使得无法在枢轴点安装编码器以直接监控位置。根据控制程度,可能还需要极高分辨率的丹纳帕编码器。解决方案是沿着它们的圆周跟踪这些设备。

角度编码器:如何使用编码器测量角度

在间接圆周方法中,连接到多圈绝对编码器的齿轮与负载的圆周啮合以跟踪其角位移。

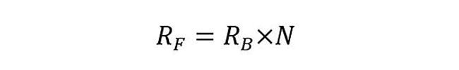
当负载上的带子移动过去时,它会转动轮子,并且编码器会记录运动。齿轮箱的减速比使其能够为齿轮的每转提供大量的旋转。这提供了最终分辨率 RF,由下式给出:

角度编码器:如何使用编码器测量角度

其中 RB 是带上的计数,N 是多圈编码器上齿轮箱的减速比。接触可以包括与负载上的齿带啮合的齿轮。或者,它可能是来自编码器测量轮甚至皮带的摩擦接触。

误差源包括机械联轴器、齿轮箱的间隙、轴跳动和偏心、摩擦接触情况下的皮带打滑等。齿轮箱的高减速比将机械误差的影响降至最低。例外情况是齿轮箱的传动装置和密封件中的摩擦。在这种情况下,摩擦的影响乘以圈数。

增量与绝对角度编码器

增量角度编码器只能记录从启动时建立的一些任意定义的起始位置的位移。这个原始位置,通常称为索引,在代码盘的一整圈旋转中仅产生一个脉冲。这使处理编码器信号的设备能够跟踪丹纳帕编码器盘从原始位置开始的整圈数。但是,索引脉冲不是唯一的,因此如果设备断电并且必须在启动时重新归位,则计数的完整旋转次数通常会丢失。

绝对角度编码器为码盘的每个位置输出一个唯一的数字字。多圈绝对角度编码器还使用数字字跟踪整圈的总数。因此,无需归位,并且在设备断电时信息不会丢失。打开绝对角度编码器的那一刻,它可以通过读取该特定角度的数字字来准确报告它的位置。

使用正交角编码器实现更高的分辨率

对正交角度编码器的信号进行插值还可以显着提升性能,具体取决于实现方式。如果接收设备的处理器将 A 脉冲和 B 脉冲的前沿和后沿视为单独的脉冲,它将使角度编码器的有效分辨率提高四倍。例如,这种插值技术可以使行业标准的 1024 PPR 正交编码器解析仅 0.088 度的角度。

但是,应该注意的是,任何错误都会与分辨率一起成倍增加。这些可能会降低性能,这意味着通过插值创建更高分辨率来提高系统精度的尝试可能会产生放大错误和降低系统性能的意外结果。这是更高的分辨率如何不提高准确性的一个例子。在此处了解有关编码器精度与编码器分辨率的更多信息。

正交角度编码器还允许监控旋转方向。在正交编码器中,圆盘有两组独立的标记(通道),它们是偏移的,因此 B 通道的信号与 A 通道的信号相位相差 90 度(正交)。这使得接收设备能够确定旋转方向。

觉见问题:如何测量角度到 0.1 度?

答:假设您直接测量旋转轴,首先确定所需的分辨率。如果要测量到 0.1 度,首先确定该数字是否适用于分辨率或准确度。如果是分辨率,则需要每度 10 个脉冲的丹纳帕编码器。将其乘以 360 度,您将获得所需的 3600 PPR 分辨率。

因此,可以使用 3600PPR 角度编码器。或者,解码正交编码器的 A 通道和 B 通道的上升沿和下降沿,您可以将 900PPR 角度编码器的分辨率提高四倍,以实现相同的有效分辨率,尽管任何错误也会被放大。

可惜的是,这只是理论上的准确性。评估Dynapar编码器控制系统中任何可能的错误,包括对齐、机械连接、系统间隙等。如果系统无法物理定位到 0.1 度,您可能需要降低分辨率规格。

了解更多关于编码器知识,请关注Dynapar编码器(注:丹纳帕经过品牌变更后,现归属Hengstler品牌旗下)国内正规授权代理西安德伍拓自动化传动系统有限公司网站。公司专业技术团队为您免费提供Hengstler编码器的选型、安装、调试、保养等技术指导服务,尽量避免企业因为编码器技术人员的短缺带来的损失,采取“线上+线下”服务的服务形式,帮助企业解决技术难题。

近期发布

亨士乐编码器引脚和安装形式介绍
Hengstler增量编码器的产品性能特点分析?
Hengstler教您避免损坏编码器码盘?
什么是磁性编码器?它有哪些优点?
NorthStar磁性编码器的结构组成和原理
Dynapar举例解析单圈与多圈绝对值编码器
Hengstler编码器计数电路和数字滤波的设计
亨士乐绝对式编码器的工作原理
NorthStar磁性编码器技术及其应用
HENGSTLER编码器在移载设备中控制定位
亨士乐SSI绝对式编码器的基本原理和操作
亨士乐编码器在运动控制中会出现什么干扰现象?
HENGSTLER编码器使用高压时间太长会发生故障吗?
变频器和编码器在起重机上的使用
HENGSTLER编码器是通过什么反馈数据的?
联轴器在配合亨士乐编码器实际应用中起什么作用?
HENGSTLER超薄编码器是怎么进行工作的?
亨士乐教您如何选择合适的光电编码器。
选择合适的HENGSTLER编码器也不容易啊
亨士乐不锈钢海水编码器的前景分析
HENGSTLER告诉您绝对式编码器的回零的意义在哪里?
Dynapar带您了解伺服电机编码器的精度问题
HENGSTLER增量编码器报警的四种情况分析
NorthStar增量编码器计数不准确是怎么回事?
亨士乐编码器在卷钢板校平剪板机控制系统的应用解析
HENGSTLER告诉您光栅尺和伺服电机编码器不同步的原因?
亨士乐增量编码器的A.B.Z信号怎么解释?
数控系统中HENGSTLER编码器的故障检测
NorthStar为您科普编码器的分辨率、精度以及重复精度。
亨士乐旋转编码器的线数与精度之前的关系?
灵蛇澳门2025年今晚看-灵蛇网4846cc-灵蛇网免费资料大全--灵蛇网4846cc最新版本更新内容-澳门灵蛇网4949 878cc彩票网 澳门灵蛇网4949-香港灵蛇网论坛资料大全最新-灵蛇网4846cc最新版本更新内容-灵蛇网4668cc-灵蛇澳门2025年今晚看 香港六玄开奖网-六玄网132432-六玄神马开奖44579-六玄公式6588777-六玄神马免费中特料-澳彩六玄网论坛6258cmcc 辉耀彩 - 首页 祥顺彩票|主页